Ukuran Pemusatan Data (tendensi Sentral)

Ukuran pemusatan data, ppt ukuran pemusatan data, ukuran pemusatan data pdf, pengertian ukuran pemusatan data, ukuran pemusatan dan penyebaran data, konsep ukuran pemusatan data smp, ukuran pemusatan data smp video, ukuran pemusatan data, ukuran pemusatan, ppt ukuran pemusatan data, ukuran pemusatan data pdf, pengertian ukuran pemusatan data, ukuran pemusatan dan penyebaran data, konsep ukuran pemusatan data smp, ukuran pemusatan data smp video,


Pengantar Statistika Pengertian Data Statistik - Ppt Download via slideplayer.info
PENGANTAR STATISTIKA Pengertian Data Statistik - ppt download

Statistika Deskriptif - Bab 03 - Ukuran Pemusatan via es.slideshare.net
Statistika Deskriptif - Bab 03 - Ukuran Pemusatan

Statistika Dasar via www.slideshare.net
Statistika Dasar

Statistika Deskripsi Dan Inferensia - Ppt Download via slideplayer.info
STATISTIKA DESKRIPSI DAN INFERENSIA - ppt download

Ukuran Gejala Pusat (central Tendency) - Ppt Download via slideplayer.info
Ukuran Gejala Pusat (Central Tendency) - ppt download

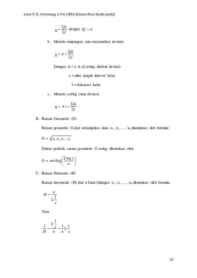
Judul Ptk Mtk Lena P. H. Aritonang via pt.slideshare.net
Judul ptk mtk lena p. h. aritonang


Random Image



Related Posts To Ukuran Pemusatan Data (tendensi Sentral)


Ukuran Pemusatan Data (tendensi Sentral) Rating: 4.5 Posted by: hanisohee

Search Here

Popular Posts

Total Pageviews

Recent Posts

Partners